MOSFET數據手冊中最突出的規格之一是漏極 - 源極導通電阻,縮寫為R DS (on)。這個R DS (on)的想法看起來非常簡單:當FET截止時,源極和漏極之間的電阻非常高 - 我們假設零電流流動。
當FET的柵極 - 源極電壓(V GS)超過閾值電壓(V TH)時,它處于“導通狀態”,漏極和源極通過電阻等于R DS(on)的通道連接。但是,如果熟悉MOSFET的實際電氣特性,應該很容易認識到該模型不符合事實。
首先,FET實際上沒有“導通狀態”。當沒有截止時(我們忽略了亞閾值導通),FET可以處于三極管區域或飽和區域。這些區域中的每一個都具有其自己的電流 - 電壓關系。
然而,我們可以安全地假設“導通狀態”對應于三極管區域,因為R DS(on)與開關電路,而不是小信號放大器和開關電路相關 - 例如,用于驅動電動機或控制繼電器 - 采用截止和三極管區域。

但是,三極管區域的控制不僅僅是一個阻力,而是一個相當復雜的方程:

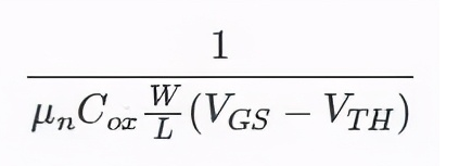
(這是對于NMOS器件; PMOS器件將具有μ p,而不是μ ?。)但是,如果我們忽略在V DS 2項,方程可如下簡化:

現在我們確實在漏極 - 源極電流(I D)和漏極 - 源極電壓(V DS)之間具有線性(即,電阻)關系。然而,“電阻”不是恒定的,如僅僅是電阻器的情況; 相反,阻力對應

這讓我們了解了關于R DS (on)的重要觀點:它受柵極 - 源極電壓的影響。以下是Fairchild的NDS351ANMOSFET 數據表中的示例:

這部分的典型閾值電壓為2.1 V.如果您快速查看V TH規格,并且在R DS(on)規范中非???,您可能會認為可以用3.3 V邏輯信號驅動該FET實現抵抗表現。
考慮到數據表明確規定了對應于R DS(on)規范的柵極 - 源極電壓, 然而,一個或兩個R DS(on) / V GS數據點不能傳達適用于實際遠高于典型V TH的柵極 - 源極電壓的導通電阻的極端增加。
因此,記住通態(即三極管區域)電阻取決于V GS和2),詳細信息請參考R DS(on)與V GS的關系圖。
此外,導通電阻不等于由上面給出的三極管區域方程表示的電阻。后者是MOSFET溝道的電阻,而導通電阻包括其他電阻鍵合線,外延層等。
電阻特性受制造技術的影響,以及R DS不同組件的各自貢獻( on)根據特定器件的電壓范圍而變化。
影響導通電阻的另外兩個因素是結溫和漏極電流,如NDS351AN數據表中的這兩個圖所示:

因此,在為特定開關應用找到合適的MOSFET之前,您可能需要到處采購并花一些時間在一些數據表上。
電話:18923864027(同微信)
QQ:709211280
〈烜芯微/XXW〉專業制造二極管,三極管,MOS管,橋堆等,20年,工廠直銷省20%,上萬家電路電器生產企業選用,專業的工程師幫您穩定好每一批產品,如果您有遇到什么需要幫助解決的,可以直接聯系下方的聯系號碼或加QQ/微信,由我們的銷售經理給您精準的報價以及產品介紹

